Ocorreu ontem (21/11) a primeira banca de defesa de tese de doutorado em Demografia na UFRN, com a defesa do discente Victor Hugo Dias Diógenes. Sob a orientação do docente Ricardo Ojima, a pesquisa discutiu os efeitos demográficos de idade, período e coorte no consumo de energia elétrica domiciliar no Brasil como elemento importante para entender os nexos do consumo com as mudanças ambientais em curso. Victor já havia desenvolvido análise semelhante na sua dissertação para demonstrar efeitos de idade no comportamento de consumo de energia elétrica nos domicílios brasileiros, concluindo que quanto mais envelhecido é o padrão de idade dos domicílios, maior é consumo de energia em KWH.
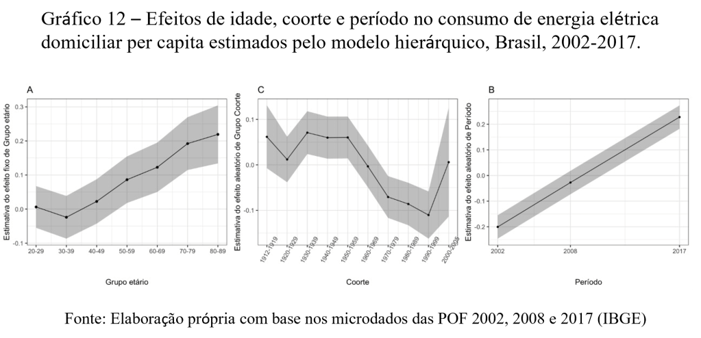
Na tese de doutorado, Victor detalhou essa análise, pois apesar de haver clara evolução do consumo de energia conforme o domicílio envelhece, há efeitos que decorrem do período da análise e também da coorte de nascimentos dos indivíduos. Ou seja, os domicílios mais envelhecidos consomem mais energia elétrica, mas isso pode ser contaminado pelo momento histórico (efeito de período) e também das características inerentes às gerações de nascimento dos indivíduos (efeitos de coorte). Assim, os modelos de Idade-Período-Coorte contribuem para entender esses efeitos concorrentes. A pesquisa avaliou 15 modelos com diferentes pressupostos e controle de variáveis para testar as convergências e observar os comportamentos da relação.

Os resultados confirmam o aumento do consumo de energia elétrica conforme envelhece o domicílio e há uma elevação no consumo também ao longo dos períodos analisados. O comportamento é explicado pelas diferentes necessidades energéticas conforme as pessoas envelhecem e na disposição de adotar hábitos de maior economia de energia entre pessoas de diferentes idades; também precisam ser considerados a alteração na composição, no número de pessoas e na renda dos domicílios ao longo do seu ciclo de vida. Em termos da análise de coorte, observou-se uma redução na intensidade de consumo de energia elétrica onde o chefe do domicílio nasceu após a década de 1960. Significa dizer que os domicílios de gerações mais jovens tendem a ter um padrão de consumo de energia menor. As gerações mais recentes podem ter sido impactadas pela maior disseminação das preocupações ambientais no contexto político, marcadamente após a crise do petróleo e das conferências de meio ambiente nos anos 1970. Além disso, as novas gerações de chefes de domicílio vivem em unidades habitacionais menores e um padrão tecnológico mais eficientes.
O trabalho confirma que é fundamental ir além do volume e crescimento populacional para entender os impactos ambientais, resumidos aqui no padrão de consumo de energia elétrica. O consumo de energia nos domicílios é relevante para entender as mudanças ambientais, pois mede a capacidade de consumo de outros bens duráveis e não duráveis que possuem importante pegada ecológica e, portanto, efeitos nas mudanças ambientais em diversas escalas. Assim, mesmo que a população não apresente mais taxas de crescimento elevadas ou até mesmo tenham crescimento negativo, entender os efeitos da idade, período e coorte é fundamental para analisar qual o papel da estrutura da população no meio ambiente. A defesa foi remota e transmitida pelo Youtube (ver abaixo), sendo concluída em 45 meses do ingresso do discente.






Deixe um comentário